Taskforce on Nature Markets/ Guide on Biodiversity Measurement Approaches
sustainacraft Newsletter Issue #2

株式会社sustainacraftの第二回Newsletterをお送りします。
第一回Newsletterでは、Nature-based Solution(NbS)に関連するニュースとして、SBT(Science Based Targets) FLAGセクター向けガイダンスと、セリーズのカーボンクレジット活用・評価、「場所に紐づくデータの重要性」に関連してSpacial Fianceについて紹介しました。
今回は、直近のニュースとして、自然資本(Nature)分野における資本還流の動きであるTaskforce for Nature Marketsと、生物多様性の評価方法(MSA)についてご紹介します。
Pickup Section
Taskforce on Nature Markets
(出所, 2022年3月)
気候変動領域では、経済外部性を解決するために古くから市場メカニズムが活用されてきました。COP26で改めてその重要性が認識され、今年にはいってからもCarbon Marketについての重要な報告が相次いでいます。
生物多様性は、気候変動と同じく、SDGsにおいても解決すべき重要な課題(Goal 15)であり、外部不経済の典型的な事例であると考えられてきました。にも関わらず、気候変動においてCarbon Marketが長らく運用されてきたのに対して、生物多様性領域では、同様の市場メカニズムはまだ導入されておりません。
理由の一つは、生物多様性を評価するための信頼できる指標、及びその指標を導くためのデータが十分に揃っていないことです。前日のTNFDベータ版においても、現時点でのデータが不十分であることが指摘されております。
The TNFD’s research has indicated that a significant amount of nature-related data is already available, from public, NGO and commercial sources. However, gaps remain, and data quality and consistency vary considerably across different regions, biomes and ecosystems. Over time these gaps will be filled and organisations are already using – and can start working on – what is available today.
さて、そのような中、Finance for Biodiversity財団によって、3/31にTaskforce for Nature Marketが設立されました。これまで注目を浴びてこなかった生物多様性を含む自然資本への資金還流を目指すとのことです。
Taskforce on Nature Markets that has been established with the aim of shaping a new generation of purposeful nature markets that deliver nature positive and equitable outcomes.
この動きは過度に活性化するCarbon Marketを意識した動きでもあると考えれます。脱炭素偏重のメカニズムが生物多様性のような自然資本にネガティブな影響を与えてはならないと強調されています。
Unchecked monetarisation of nature could lead to its further depletion and damage. For example, unintended consequences could arise from an over-emphasis on markets predicated on one measurable metric (say, carbon reduction or offsets) while missing and negatively impacting other aspects of biodiversity.
一方で、客観性・透明性の高い自然資本の取引を実現するための仕組みについてはまだ準備中とのことで具体的なモニタリング方法・指標は論じられておりません。
資本主義の枠組みの中でも自然資本に適切な配慮がなされるよう、今後のモニタリング方法・指標の開発が待望されます。
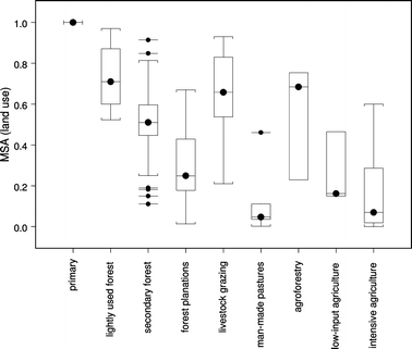
Guide on Biodiversity Measurement Approaches - MSA (Mean Species Abundance)
(出所, 2022年1月)
Taskforce for Nature Marketの中では、生物多様性の評価指標としてFinance for Biodiversity財団(F4B)などの出版物について言及されています。このF4Bの今年1月のレポートでは生物多様性を評価する指標として、MSA (Mean Species Abundance)、PDF (Potentially Disappeared Fraction)、Star (Risk of Extinction)の三つが取り上げられていました。
MSAは、平均生物種豊富度と訳され、ある特定地域に住む固有種の数が、手付かずの状態(undisturbed pristine ecosystem)と比較して、どの程度残存しているかを示す指標です。このMSAはOECDの定量的シナリオ技法(GLOBIO)において2050年の生物多様性の減少分を予測する際に用いられました。生物多様性を評価するための重要な評価指標と考えられています。
MSAを測定するためには、場所ごとの固有種を測定することが求められますが、前述のGLOBIOにおいては、過去文献・調査のメタアナリシスから導いた因果関係式に基づいた試算・評価が行われています。具体的には、MSAに大きなインパクトを与える5要素、1)土地の利用、2)窒素沈着(N Deposition)、3)インフラ開発、4)森林の断片化(Fragmentation)、5)気候変動、を用いて場所毎のMSAを計算しています(Alkemade et al 2009)。

幾つか具体的な事例を紹介します。1)土地の利用方法については、これまでの調査により、土地利用の違いがMSAに与える影響が明らかになっています。Global Land Cover等データベースに格納されている地点ごとの土地利用情報と、土地利用によるMSAの影響データを用いることで、地球規模で土地利用がもたらす生物多様性への影響を評価することができます。

また、5)温度上昇による生物多様性への影響についても、メタアナリシスにより評価されています。

以上のようなメタアナリシス、因果関係式、及び各指標の今後の変化に基づいて、AlkemadeらはMSAを用いて生物多様性を地球レベルで評価し、MSA及びGLOBIO技法が、国・地域の生物多様性に関わる意思決定の支援ツールとして有用であることを示しました。
但し、このGLOBIOモデルは、空間解像度が粗く、企業活動に紐づいていないため、企業の生物多様性に対するインパクトを評価する上では適切ではありません。企業レベルのMSAを評価するツールとしては、仏CDC Biodiversiteが開発したGBS(Global Biodiversity Score)等があります。
GBSでは、企業活動の中で生物多様性に影響を与えるドライバの定量情報に基づき、企業活動全体でのMSAへのインパクトを評価する方法論が提供されており、仏Schneider Electric社は、実際に本ツールを用いて自社の生物多様性へのインパクトを評価しています。Schneider Electricでは生物多様性へのインパクトのほとんどが1)土地利用の変化(新工場の設営)と、5)気候変動(温暖化ガスの排出)、に起因することが報告されています。

生物多様性に対する企業活動の影響を簡易的に評価する手法としてGBSは有効ですが、将来に向けて改善の余地も指摘されています。
企業が熱帯雨林を伐採して工場を建築する場合、GBSのデータベースに格納されている”Impact Factor”を用いてMSAを試算します。熱帯雨林のMSAが100%工場のMSAが10%だとすると、この土地利用によるMSAへのインパクトは100%-10%=90%となります。土地利用の変更を伴わずにMSAが変更された場合(例えば熱帯雨林が分断を伴わずに劣化した場合等)では、土地利用に伴う生物多様性へのインパクトは「ゼロ」とカウントされてしまいます。
各企業の生物多様性向上に対する努力が適切にモニタリング・評価されるためには、もう一段細かい評価を簡易に実現できる仕組みが必要となると考えています。
GLOBIO3: A Framework to Investigate Options for Reducing Global Terrestrial Biodiversity Loss
(出所, 2009年)
最後に、上のレポートで言及されているGLOBIOのversion3の元論文の研究報告を少しだけ紹介します。
ここでは、前半で述べられている、(他の指標と比べた)MSAの特徴と、本論文で研究されているシナリオ分析の2点に着目して紹介します(MSAを具体的にどのように計算しているかについてはこの論文をご参照ください)。
MSAの特徴
まず、MSAは、Biodiversity Integrity IndexやBiodiversity Intactness Indexと似ているが、MSAが全ての土地に対して均等な重み付けがされている一方で、BIIは種が豊富なエリアに対してより大きな重みづけがされているところに違いがあります。
また、MSA単体で生物多様性を評価することはできず、例えばSTAR(Species Threat Abatement and Recovery)のような指標と合わせてみられることの必要性も強調されています。
シナリオ分析
この論文ではMSAの減少を抑制するために有効と考えられる以下3つの政策をGLOBIOを用いて評価していますが、ここでは2つ目の持続可能なプランテーションを促進させるシナリオの分析結果を紹介します。
Climate Change Mitigation Through Energy Policy
Plantation Forests
Protected areas
一般に、アカシアやユーカリなど、商業的に利用価値が高い早生樹種による植林は、生物多様性が低いことで知られています。
しかし、特に発展途上国では、(生物多様性の高い)天然林が木材需要を満たすために伐採されていること、そして人口増加に伴い木材需要は今後も伸びていくことを前提に、プランテーションを促進することで木材需要を満たし、天然林の減少を抑制する効果がGLOBIO3を用いて検証されています。
シナリオ分析結果として、開始直後はプランテーションの促進によるMSAの減少が見られるが、徐々に天然林の回復に伴いMSAが向上し、2050年以降の長期ではさらにMSAの向上が期待される、ということが報告されています。
News from sustainacraft
● 30by30アライアンスに加入しました。
- 「ポスト2020生物多様性枠組案」の目標案の一つとして、2030年までに陸と海の30%の保全を目指す目標である「30by30目標」が掲げられています。
- この30by30目標の国内達成に向けた有志連合である、30by30アライアンスに当社も加入いたしました。
- 30by30ロードマップの策定と30by30アライアンスの発足については、環境省から先日アナウンスされています。
● Viva Technology 2022に出展します。
- 6月にパリで開かれるViva Technology 2022に出展することになりました。
- 詳細は追って発表いたします。
Closing remarks
GLOBIO3の論文で紹介した通り、単一樹種によるプランテーションの促進は、炭素貯留だけでなく、生物多様性の観点でも、全体としての影響は必ずしもネガティブとは言い切れません(別の場所での木材を目的とした天然林の伐採が抑制されるメカニズムが機能していればという前提ですが)。
MSA(および他の指標)は、単一の指標のみでは生物多様性の完全な指標にはなりえず、また、10年の時間軸で考えるのか、2050年以降の長期の時間軸で考えるのかによって、議論は様々な方向に展開できてしまうことも紹介しました。
これらは、人為的な活動が自然資本へ与える影響の定量評価の難しさを示す良い例だと思います。当社の社名のcraftという言葉は、専門技能職や手工業といった意味があり、データの扱いや解釈を丁寧にしていきたいという思いからつけています。
以上、sustainacraftのNewsletter #2でした。このNewsletterでは、隔週から月1回程度の頻度でNbSに関する日本語での情報発信をしていく予定です。
当社の会社概要資料はこちらで公開しておりますので、ご参照ください。
Disclaimers:
This newsletter is not financial advice. So do your own research and due diligence.
